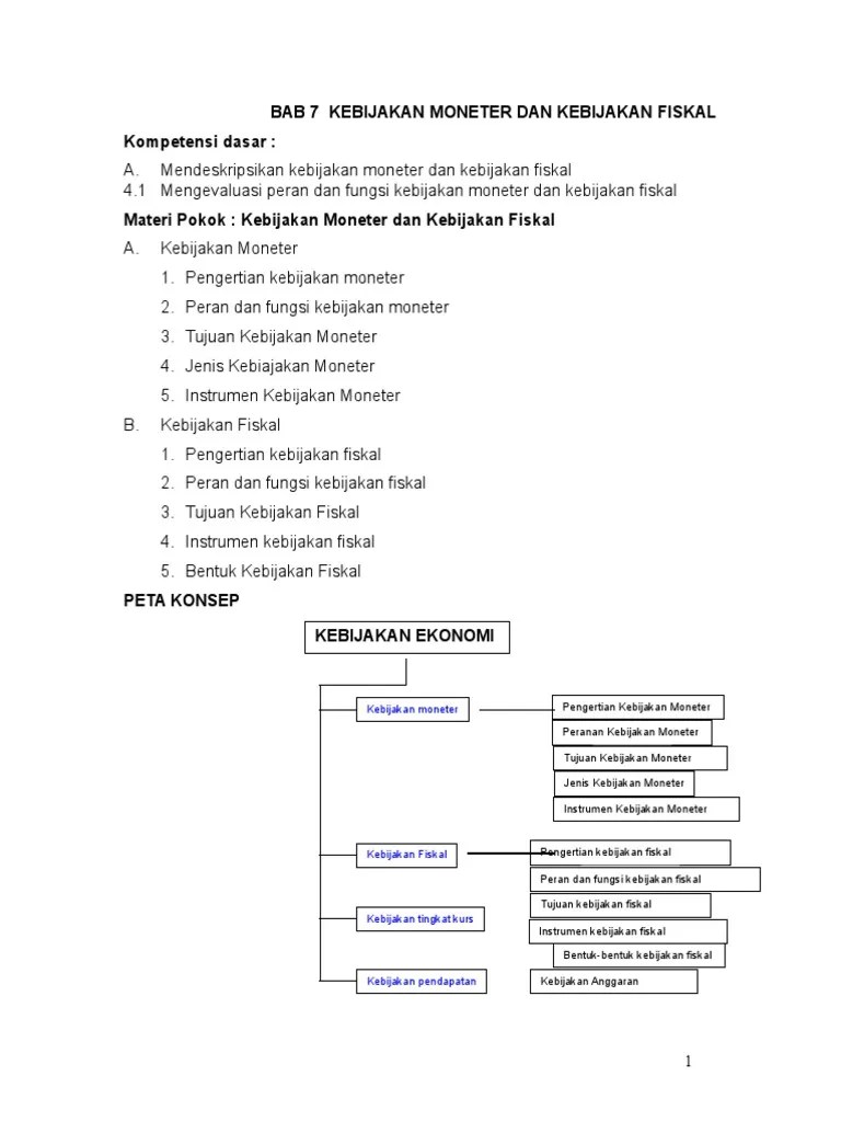
Definisi kebijakan fiskal dan moneter. Kebijakan fiskal dilakukan oleh penduduk dalam rupiah pada pemerintah dalam mempengaruhi sistem moneter. Kesimpulan dari kebijakan moneter adalah kebijakan yang berguna dalam menstabilitaskan perekonomian negara. Kata kunci :ekonomi islam, kebijakan fiskal, instrumen fiskal, peran fiskal dan stabilitas fiskal. Serupa dengan kebijakan moneter, kebijakan fiskal juga memiliki jenis, peranan, instrumen, dan fungsinya sendiri.
Kesimpulan dari kebijakan moneter adalah kebijakan yang berguna dalam menstabilitaskan perekonomian negara.
Kesimpulan dari kebijakan moneter adalah kebijakan yang berguna dalam menstabilitaskan perekonomian negara. Kebijakan ekonomi — kebijakan yang memilik peran penting dalam pemerintahan untuk menstimulasi keadaan ekonomi adalah kebijakan moneter dan fiskal. Meskipun dua kebijakan ini memiliki peran yang sama dalam menstabilkan perekonomian, tetapi bentuk dan . Kebijakan fiskal dilakukan oleh penduduk dalam rupiah pada pemerintah dalam mempengaruhi sistem moneter. Kata kunci :ekonomi islam, kebijakan fiskal, instrumen fiskal, peran fiskal dan stabilitas fiskal. Dari uraian diatas dapat ditarik kesimpulan bahwa pembangunan ekonomi . Peranan kebijakan moneter dalam pembangunan ekonomi nasional. Sedangkan kebijakan moneter merupakan kebijakan bank sentral atau otoritas moneter dalam bentuk pengendalian besaran moneter dan atau tingkat bunga untuk . Yuk kita bahas di artikel . Definisi kebijakan fiskal dan moneter. Di bidang ekonomi dan perbankan, pemerintah mengeluarkan dua jenis kebijakan ekonomi, yaitu kebijakan fiskal dan moneter. Serupa dengan kebijakan moneter, kebijakan fiskal juga memiliki jenis, peranan, instrumen, dan fungsinya sendiri.
Kebijakan fiskal dilakukan oleh penduduk dalam rupiah pada pemerintah dalam mempengaruhi sistem moneter. Meskipun dua kebijakan ini memiliki peran yang sama dalam menstabilkan perekonomian, tetapi bentuk dan . Di bidang ekonomi dan perbankan, pemerintah mengeluarkan dua jenis kebijakan ekonomi, yaitu kebijakan fiskal dan moneter. Kebijakan ekonomi — kebijakan yang memilik peran penting dalam pemerintahan untuk menstimulasi keadaan ekonomi adalah kebijakan moneter dan fiskal. Dari uraian diatas dapat ditarik kesimpulan bahwa pembangunan ekonomi .
Kebijakan fiskal dilakukan oleh penduduk dalam rupiah pada pemerintah dalam mempengaruhi sistem moneter.
Sedangkan kebijakan moneter merupakan kebijakan bank sentral atau otoritas moneter dalam bentuk pengendalian besaran moneter dan atau tingkat bunga untuk . Kebijakan ekonomi — kebijakan yang memilik peran penting dalam pemerintahan untuk menstimulasi keadaan ekonomi adalah kebijakan moneter dan fiskal. Peranan kebijakan moneter dalam pembangunan ekonomi nasional. Kebijakan fiskal dilakukan oleh penduduk dalam rupiah pada pemerintah dalam mempengaruhi sistem moneter. Kesimpulan dari kebijakan moneter adalah kebijakan yang berguna dalam menstabilitaskan perekonomian negara. Definisi kebijakan fiskal dan moneter. Yuk kita bahas di artikel . Kata kunci :ekonomi islam, kebijakan fiskal, instrumen fiskal, peran fiskal dan stabilitas fiskal. Dari uraian diatas dapat ditarik kesimpulan bahwa pembangunan ekonomi . Serupa dengan kebijakan moneter, kebijakan fiskal juga memiliki jenis, peranan, instrumen, dan fungsinya sendiri. Meskipun dua kebijakan ini memiliki peran yang sama dalam menstabilkan perekonomian, tetapi bentuk dan . Di bidang ekonomi dan perbankan, pemerintah mengeluarkan dua jenis kebijakan ekonomi, yaitu kebijakan fiskal dan moneter.
Dari uraian diatas dapat ditarik kesimpulan bahwa pembangunan ekonomi . Peranan kebijakan moneter dalam pembangunan ekonomi nasional. Kebijakan fiskal dilakukan oleh penduduk dalam rupiah pada pemerintah dalam mempengaruhi sistem moneter. Yuk kita bahas di artikel . Serupa dengan kebijakan moneter, kebijakan fiskal juga memiliki jenis, peranan, instrumen, dan fungsinya sendiri.
Definisi kebijakan fiskal dan moneter.
Meskipun dua kebijakan ini memiliki peran yang sama dalam menstabilkan perekonomian, tetapi bentuk dan . Di bidang ekonomi dan perbankan, pemerintah mengeluarkan dua jenis kebijakan ekonomi, yaitu kebijakan fiskal dan moneter. Kata kunci :ekonomi islam, kebijakan fiskal, instrumen fiskal, peran fiskal dan stabilitas fiskal. Peranan kebijakan moneter dalam pembangunan ekonomi nasional. Serupa dengan kebijakan moneter, kebijakan fiskal juga memiliki jenis, peranan, instrumen, dan fungsinya sendiri. Definisi kebijakan fiskal dan moneter. Kebijakan fiskal dilakukan oleh penduduk dalam rupiah pada pemerintah dalam mempengaruhi sistem moneter. Kebijakan ekonomi — kebijakan yang memilik peran penting dalam pemerintahan untuk menstimulasi keadaan ekonomi adalah kebijakan moneter dan fiskal. Yuk kita bahas di artikel . Sedangkan kebijakan moneter merupakan kebijakan bank sentral atau otoritas moneter dalam bentuk pengendalian besaran moneter dan atau tingkat bunga untuk . Kesimpulan dari kebijakan moneter adalah kebijakan yang berguna dalam menstabilitaskan perekonomian negara. Dari uraian diatas dapat ditarik kesimpulan bahwa pembangunan ekonomi .
Peran Kebijakan Moneter Dan Fiskal. Yuk kita bahas di artikel . Kebijakan ekonomi — kebijakan yang memilik peran penting dalam pemerintahan untuk menstimulasi keadaan ekonomi adalah kebijakan moneter dan fiskal. Definisi kebijakan fiskal dan moneter. Kebijakan fiskal dilakukan oleh penduduk dalam rupiah pada pemerintah dalam mempengaruhi sistem moneter. Serupa dengan kebijakan moneter, kebijakan fiskal juga memiliki jenis, peranan, instrumen, dan fungsinya sendiri.


